2020年1月28日,国际期刊Ultrasonics Sonochemistry在线发表了我校药学院青年教师薛峰博士的最新研究成果“Physicochemical properties of soy protein isolates-cyanidin-3-galactosideconjugates produced using free radicals induced by ultrasound”。本文的第一作者为薛峰博士,通讯作者为我校食品质量与安全中外合作办学单位皇家墨尔本理工大学Benu Adhikari教授。

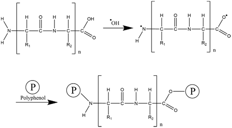
近年来,利用多酚共价修饰来改善蛋白质功能特性成为蛋白质领域的研究热点。常规的修饰手段需要引入化学试剂或者利用生物酶,这些方法会存在一定的安全隐患或需要较高的制备成本。因此,寻求绿色制备技术成为制约该领域发展的瓶颈。
本研究利用高场强超声波在水相中产生的自由基效应,诱导多酚与大豆蛋白之间发生共价交联。该反应体系不需要引入新的物质,属于绿色化学技术。所制备的大豆蛋白-多酚共价复合物展现出较好溶解性和热稳定性。该研究不仅为蛋白质-多酚共价复合物的制备提供了新的制备技术,也为高场强超声波在化学合成中的应用提供新的思路。

该研究获得江苏省自然科学基金青年基金的资助。
原文链接:https://doi.org/10.1016/j.ultsonch.2020.104990